4.1.1 Diagrams
Opening diagrams with a Diagram Editor
To open a Diagram Editor
:
| 1) | Choose
Edit | Diagram Editor... in the Launcher.
|

Figure 4-4. Selecting a graph to open.
| 2) | Select
a graph from the dialog (e.g. ‘Stopwatch’) that will appear (Figure 4-4), and click the OK
button.
|
| 3) | Select the
desired diagram representation from the dialog that appears, and click OK
(Figure 4-5). If you want to make a
new representation select ‘Create new Diagram’ (the last item in the
list). This selection opens the selected graph but allows you to make a
different representation version of it. Thus, you can have a different layout
and subset of the contents of the graph. |

Figure 4-5. Selecting a diagram to open.
 | The
dialog for representation selection does not necessarily appear. It depends on
the representations available and the current dialog options (see Section 3.1.3 Options
Tool). |
 | By
keeping shift pressed during the open operation, you can open the graph without
locking it. This is especially useful in a multi-user environment when you just
want to view the graph and allow another user to change it at the same
time. |
 | By
default, diagram representations of graphs that are larger than the current
screen are zoomed to fit when opened. This can be changed from system options to
open such diagrams at 100% zoom (see Section 3.1.3 Options
Tool). |
There are also many other ways to
open a diagram, e.g. double-clicking a graph in a browser (or pressing
Ctrl+D when one is selected), selecting Graph | View | Open as
Diagram... in another editor, or selecting an object in another editor and
choosing to open its Explosions... or Decompositions... from its
pop-up menu.
Creating diagrams
To create a new diagram:
| 1) | Choose
Edit | Diagram Editor in the
Launcher. |
| 2) | Select
the last item ‘Create new graph’ from the dialog that opens (see Figure 4-4), and click OK.
|
| 3) | As a result a
‘Create Graph’ dialog will open, prompting you to select the graph
type for the new graph and the representation it will open as. Choose the wanted
graph type from the list and then the check the appropriate radio button to
select the representation (Diagram is selected as default as in Figure 4-6) and click
OK. |
| 4) | A
new graph is created and you are prompted for its properties, e.g. its name:
fill them in and click OK. |

Figure 4-6. Selecting a graph type to create.
As a result,
you should now have an empty Diagram Editor open on a new graph of the selected
language.
Managing diagrams
As in all editors in MetaEdit+, the Graph menu allows
users to create, open and edit graphs. For example, the same function that was
previously used to open a diagram can be accessed from Graph | Open... as
well. Similarly, a new diagram can be created by selecting Graph | New...
and following the instructions above.
To edit the
properties of the graph
itself select
Graph | Properties..., and a property dialog for the graph
will appear. In the dialog, the properties of the graph can be edited and
modifications accepted by clicking
OK. See Section
3.3.1 for more information on property
dialogs.
The Graph menu also includes functions to view a diagram
in other representations (i.e. as a matrix or as a table) or to browse the
diagram in a Graph Browser. Basically, the Graph | View functions open
this graph in the tool chosen. The other editors, Matrix Editor and Table
Editor, are described in later sections.
You can also open the Info Tool for the graph by selecting
Graph | Graph Info... (see Section
3.3.3).
Import and auto-layout of existing graph elements
The Diagram Editor also allows you to update a diagram
representation of a graph with information that has been added in another
representation of the same graph.
To update a diagram with changes made to the same graph
with another tool select Graph | Import Graph. This function
automatically fetches and adds all representations of new objects and their
relationships to the Diagram Editor so that the user can arrange and edit them.
This function is called automatically when opening a new diagram on an existing
graph.
Plain importing of graph does not provide any automatic
layout for new elements. To do this, select
Graph | Layout. This will
open the Layout Options tool (
Figure
4-7) for configuring the layout parameters.

Figure 4-7. Layout Options.
The auto-layout is carried out
with the combination of two layout algorithms. The first one, a version of
Sugiyama algorithm for directed acyclic graphs, organizes the diagram elements
in hierarchical fashion, while the other, a simulated annealing algorithm, takes
care of the elements left untouched by the first algorithm. The latter algorithm
just aims to reduce the length of relationships between objects, while
preventing objects appearing on top of one another, and therefore does not
require parameterization. The first one, on the other hand, is more complex and
provides the following parameterization options:
 | Tree
filters are used to define the role-relationship-role combinations that form
directed acyclic graphs (DAG) for Sugiyama algorithm. These filters serve two
purposes. First, as the diagrams often contain cyclic structures, the
information from the user is needed for sensible creation of DAGs out of them.
Second, filters enable the user to define which relationship and role types to
use as basis for the hierarchy. Please note that the role order in filter
defines the direction of relationship (the first role being initial one) and
that this directivity is also used when creating the DAG. To reverse the
directivity for the selected filters, press the Invert Roles for
Selections
button. |
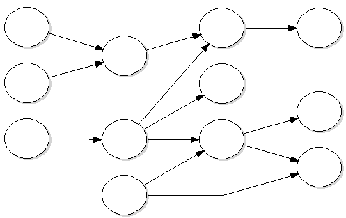
 | Tree
distribution defines in which direction, vertical (Figure 4-8) or horizontal (Figure 4-9), the layout hierarchy is
drawn. |
 | Manhattan
layout check-box sets the way how the relationships are drawn. When checked,
the relationships appear as network of orthogonal lines with perpendicular
angles (Figure 4-8). Otherwise the
relationships are presented with plain straight lines (Figure 4-9). |

Figure 4-8. Vertically distributed manhattan diagram.

Figure 4-9. Horizontally distributed non-manhattan diagram.
As
mentioned above, the Sugiyama algorithm requires an acyclic graph. The problem
of cyclic design structures is partially solved by setting the tree filters
before the layout but even then there are sometimes cyclic structures output for
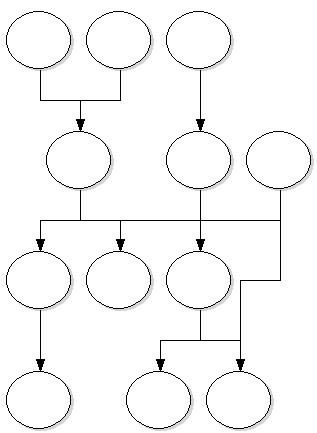
the layout algorithm. In these cases, a dialog similar to the one in
Figure 4-10 shows the cyclic paths in the
graph and prompts for the user intervention. Selecting a cyclic path from the
list will highlight it on the Diagram Editor (as in
Figure 4-10). Cyclic Path dialog also
provides possibility to cut the cycles to make the graph as an acyclic tree for
which the Sugiyama algorithm will be applied. To do this, press the
Loose
Tree button. If you want to continue without forming the tree, press the
No Tree button – this will bypass the Sugiyama algorithm and apply
the simulated annealing algorithm only. If you do not want to apply any layout,
press the
Cancel button.

Figure 4-10. Inspecting cyclic paths before the layout.
Info for graph and elements
Info Tool for graph can be accessed by selecting Graph |
Graph Info.... Info for selected diagram element can be opened by selecting
Edit | Info....
Printing a diagram
To print the diagram select
Graph | Print.... You are
first asked for the printer, then for the scale of the printout or how many
pages you want to print over. By default, printing is of the whole used area of
the diagram at a single page. Printing is described in more detail in Section
5.1.
Exporting diagrams
Diagrams can be exported in several formats:
Graph | Export to | Clipboard as Bitmap lets you
select an area of the visible diagram and export it as a bitmap to the system
Clipboard. The exporting function asks you to frame the area to export by
clicking at its top left corner and dragging to its bottom right
corner.
Graph | Export to | GIF file... exports the whole
diagram with the current zoom factor into a GIF file.
Similarly to GIF export, Graph | Export to | PNG
file... exports the whole diagram as a PNG file.
Graph | Export to | PICT file... exports the whole
diagram at 100% zoom into a PICT vector graphics .pct file. PICT files can be
imported and edited as vector graphics by most word processing, desktop
publishing and graphics software. If your software appears not to recognize PICT
files, check whether support for them is an optional part of the installation of
that software.
 | In
all graphical exporting formats, the current view filtering (View |
Selected...) settings in the Diagram Editor will be applied to the exported
diagram. |
Graph | Export to | MetaEdit+
Patch File... exports the diagram as a binary patch file
(.mec) for importing to another
MetaEdit+ repository.
Graph | Export to | MetaEdit+ XML Models File...
exports the diagram as an XML file
(.mxm). These XML files provide the
most flexible data exchange format between MetaEdit+ and other tools. They can
be also used for transferring design data between MetaEdit+
repositories.
 | For
more information about design data export and import, see Section 5.3. |
Generating code and documentation
To generate code or documentation:
| 1) | Select
Graph | Generate... or press the Generate button on the Diagram
Editor toolbar (or press Ctrl-R).
|
| 2) | Select a
generator from the list dialog. Note that the generators are listed indented
under the graph types that define them: choosing a graph type instead of a
generator will have no effect. Figure
4-11 shows an example of a dialog list for choosing a
generator. |

Figure 4-11. Choosing a generator to run.
After you have
selected a generator, the tool runs it and opens a window showing the generator
output, or a list of the file(s) to which generator output has been
sent.
Sometimes it is also possible to run a specifically
predefined generator directly from the toolbar by pressing the respective
generator button.
Closing a Diagram Editor
To exit the Diagram Editor select
Graph | Exit or use
some other platform dependent closing mechanism: e.g. on Windows, click the X in
the top-right corner of the
window.